Better Democracy and Capitalism
A Timistic Vision of Humanity for the New Millennium


History of Democratic Capitalism

Part 1 The Lessons that Make Up the Hidden Agendas

As a poor brat working the welfare system, Bob Barnett knew something was wrong. People competed to get something for nothing, especially exagerrating their misfortunes to increase their freebies. Public assistance helped his mom have eight kids in nine years. The lesson: Help that does not help the helpless to help themselves is not really help.

Escaping the welfare system, Bob Barnett became self-supporting at age eight by shining shoes 40 to 50 hours a week.Working harder than the kids that did not work, doing a lowly job that improved the world in a small way, he was the butt of jokes because of the color of his tanned hands. The lesson: The problem-solvers not only don't go unrecognized but often are demeaned by those who don't solve real problems. One doesn't have to have African genes to be a nigger , the highest compliment that you can pay another human being if you look at why the racist demeans rather than reputes his unjustified motives. Insults often represent actual compliments.

At age 13, among the other discoveries of puberty, Bob Barnett was thunked by the big realization: I am someone who is responsible for his fate. From this came a desire to develop an inner value system on which and by which to act so as not to make a fool of himself. System after system was explored for establishing an eclectic unity. Too often, like the crew on a sinking ship, the tedium of duty, honor, and integrity was abandoned for wanton cheap survival. Nonetheless, a lesson, the more you try to live honestly with the whisper of your blood, the more different you become from those who question less or not.

Starting high school, his shoe shining days came to an end as name-forgotten classmates increasingly made fun of the color of the skin on his hands. Shelving the shoeshine box, Bob Barnett applied for job after job before becoming a liquor store burgler from necessity. Break and grab ... two cases of 80 proof to go with the five finger discount ... sell at $25 a bottle to the mockers and laughers ... but keep looking for a job. When hired to fry Krekel Burgers, the thievery stopped. I did not choose to be a thief--it was a decision forced on me. The lesson, people don't engage in petty crime when they have jobs. A second lesson, learned from the hard scrabble owner, Bill Krekel, America is the place where anyone can make it if they are willing to work.

College was approached with the goal of questioning how to best live the one life he had. Preparing for a job could wait until the job of "Why?" was finished. Course work was structured and sequenced to understand the questions and the questioner. To maximize progress, never-regretted time was devoted to maximizing learning and memory. By the time academia was abandoned just before the dissertation, above average performance had been proven in electricity, electronics, chemistry, physiology, neurowhatever, psychology, and philosophy. People far apart, elsetime and elsewhere, eerily came up with a moniker DIBS--deserted island bob.

Academia was disappointing because of the politics behind the facade of pursuing truth: The lesson, expressed one afternoon to a government class, Politics limits policy-making in solving problems by injecting unrelated factors. Solutions are simple until politicians inject the complexity of something for nothing to reward their campaign bribers with campaign welfare.

During undergraduate, the foundations were formed for what became Timism. As a clutter cutter for seeing and doing right, it encompassed and exceeded previously explored and entertained system. But knowing right and doing right are two different things. Personal politics, i.e., pleasure, often corrupts goodness, no matter how good. And, timism, for all its goodness was also badness incarnate. It endows the bearer with the means to reach in and find another's raw nerves and then piss on them. Having prompted suicides and suicide attempts, I learned one should not destroy without offering a better system that is easily embraced.

When faced with pursuing the good or bad of timism, this lesson was crucial in focusing on problem-solving rather than becoming an Oklahoma City Bomber or Unibomber. The solution is not the destruction of government and capitalism but the betterment of the two. Renovation and rennaisance, not revolution and revulsion.

A period of deadend materialism reawakened and deep-seated the commitment to summarize and share my lessons and learnings.  As ontogeny recapitulates phylogeny, so does my personal travails and hopes reflect the mire of mankind. As I would have had a simpler, happier life so would mankind were it not for the habitual politicians' despotic policy-making. Out of a period of anger and frustration, a process was perceived to reduce anger and frustration of self and humanity. This process is the timistic twins of goodness: Better Democracy and Better Capitalism.

Part 2 Intellectual Underpinnings and Exploration

In 1978, Robert S. Barnett turned his efforts to understanding why he had in recent years become so angry at the "system" as to be self-destructive in his survival actions. An Archimedes's "Eureka" or a Saul of Tarsus's "Thud" prompted the realization that the system wasn't wrong in theory but was abused by wolves parading under the sheepskins of democracy and capitalism. Thus began a now two decade long  journey that was supposed to last only a few years.

In 1982, a reporter wrote an article:  Self-Starter Sees Solutions From Computers. Most of the writings were completed by this time. The exceptions were Managing without Managers(1989) and Ecos Nomos: The Needed Economics (1991). The former was an attempt to summarize my approach to "profiting from democracy and capitalism in the workplace." The latter is an effort to provide a new, basic foundation for economists (time/Timism) who know the price of everything but the value of nothing. Many have asked why I did not get these baker's dozen of books formerly published. Simple: time, control and goal. Time spent fussing with editors would erode control of the content for achieveing the goal of change for a better world. This is not to say that I don't find myself embarrassed by some of the things I wrote which a good editor would have shown me the foolishiness of having in the text.

In 1983, I started AESOP which had a dual meaning: American Employee Stock Ownership Plan and American Economic System of Production. I developed software to promote democracy and capitalism in the workplace. I believed that if you empower and reward people to be their own boss that a better system would result. I was wrong. Or, I was the wrong messenger with the right message.

Along the way, software was developed to bring about better democracy and capitalism in the community. Touch-Tone Manager was software packaged that let people do many things, e.g., payroll. It also allowed people to vote on colfilperhoned issues. The first winner within the office was a high schooler, Miev Va Heak.

After a surge protector burned the business up in 1992--Printing Firm Presses on despite blaze--I scrambled to raise capital to keep the idea afloat. My absence resulted in employees not charging customers for services and products rendered. With the capital deficit, cashflow deficit and faulty problems, I found myself in bankruptcy. Clearly, software will not help everyone be a self-starting manager. With tears in my eyes, I begged employees to please use the system to record production time. My reward, an office full of people (nine to twelve) with no one charging the customer for time invested in fulfilling the customer's requests. I often thought that employees craved the acceptance of strangers passing through for a moment of life to the security of building a career by charging a fair price for the service the stranger requested. Simple standards were not observed, e.g., printing pink crosses on the business cards of the American Red Cross.

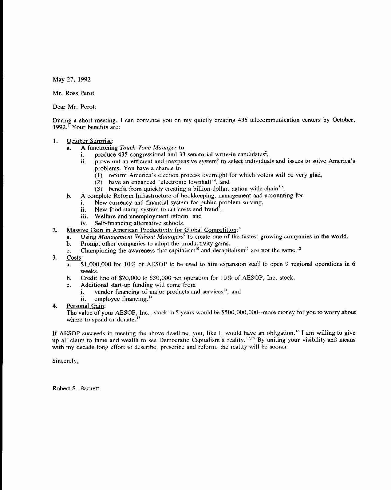
During this period, I thought I was helping Ross Perot--Dallas Morning News Ad. I tried to share colfilperhone with him--letters-- for he had the means to create true electronic townhall meetings: May 1992 and August 1992. My reception was a cold shoulder with lots of incriminating questions and with a thanks but no thanks finale. America was lucky that a daughter's wedding prompted the withdrawal of that little billionaire bellyacher who is America's top recipient of public welfare through EDS. While George Bush said, "Read My Lips," the billionaire bellyacher, promising solutions if elected, projected, "Read my Mind."

When Perot ran for office, many people called and said that I had taken too long, for Perot was saying things I had written many years earlier. In fact, when I placed my ad in the Dallas paper, a lady called me from Texas and berated me for stealing Perot's ideas! The difference between Perot and me is he wants to be Ross the Boss while I want to be Bob who does not rob. The biggest impediment to better democracy and capitalism will be getting the multitudes of petty legal thieves to stop stealing so as to force the big thieves to stop. Most people don't realize that their nickle and dime thefts let others steal dollars from them.

Great Message, Good Messenger

As a timist, I fulfill the origin of the word "respect", that is, "re-inspect." I re-inspect people for how much time they create or destroy. Are they part of the problems or the solutions? The poor illiterate blue collar worker, barely making ends meet, is more respectable than the Kennedyesque squire spending inherited bundles on booze, women and drugs--the good life stuff of Madison Avenue advertisement. I'd rather share a beer, island and heaven with the former than the latter. It is akin to Calvin Coolidge's comment about the wisdom of a person who has had to work to make a business successful.

And, accordingly, I value the respect of the respectable. While it is self-serving, despite my many short-comings, I have traveled a longer, harder path with less support. From birth, by accident. From insight, by choice.


Quality Control Tools for Higher iCube ... Frog Leaping.
'Links To': Pages linked to by this page: ( (IndexDir ... Refs General ... !RefsRvu ... !Dir.nts) InfoLinks (05-22-2015@07:28) IndexAD1.bas:LinkLstToTable
Link Label on this page Uploaded Webpage Title of Link file
(A) No Incomplete Links:
(B) No HTTP:// Links:
(C) Dated Links: Annotated References: HTB
 > #1 821125 Self-Starter Sees Solutions From Computers auto 821125 Non-HTM file
 > #2 920527 Dallas Morning News Ad auto 920527 Non-HTM file
 > #3 920527 May 1992 auto 920527 Non-HTM file
 > #4 920823 August 1992 auto 920823 Non-HTM file
 > #5 920904 finale auto 920904 Non-HTM file
(D) No Templates:
(E) No Internal Links, Absolute (non-dated):
(F) Internal Links, Relative (non-dated and ignore lifehour credit links):
 > #1 Bill Krekel 071101 Krekel
 > #2 DIBS 090721 DIBs: Deserted Island Bob
 > #3 Timism 071101 Timism: Index
 > #4 dual meaning auto Non-HTM file
 > #5 Printing Firm Presses on despite blaze 071101 Fire 1992
 > #6 letters 071101 Ross Perot: A Big Disappointment
(G) Current Directory Links
 > #1 whisper 071111 Hesse, Herman
 > #2 writings 071101 Writing Index for Better Democracy and Capitalism
 > #3 Managing without Managers 071101 Managing without Managers: Acknowledgement
 > #4 Ecos Nomos: The Needed Economics 071101 Ecos Nomos: Table of Contents

Flotillas
To Do List Whole Scheme * Signup * Recruit * ISPs * Help * UPS * TTD? * BDC * Global Dying * MHC * Morality * 24in4 * Retiming
Navigate ABCIndex * Image Bibs * IndexDir * Indexes * Rags * Reference Bibs * RefsMajor RefsYMD * Slideshows *
WebLinks Timism.com * Timism.Net (F L) ... GlobalDying * Letters * Essays * MiniIndx * Writings
ManHeaven Index * IndexDir * D2D * CO2 Sins * Forms * GOOHF * Ltrs * Oath * Index * Summary Tipping Pts * TTD-MH
Armadas FlotillasLinks 6576, flObj, flObj$
Are You: Ill-Employed ... WorkHog ... Rioter ... Moral ... Immigrant ... Habitual Politician ... Medical Staff ... Military ... ManHell Letters
Survival SurfWisely * Timism vs. Habituals * Contract * Credo * Jack and Jill * Hope * What We Need * Leave Me Alone I hate you ... Ttd4U ... Modus Operandi
Tables temp 091226-0724 ntvd error

Created by Linkstat.bas\Program
CMD:G: BBS
05-22-2015 @ 07:32:36
(Len=21k)